同构思想初步

同构思想初步
Lingerbhw233前言
在高中数学中,同构思想在导数函数类型题目中应用十分广泛,虽然在高一数学中还并没有大规模的出现,但是在对数和指数函数学习完之后,会慢慢的出现同构这一类题型,故作此篇,简单介绍这类思想,并给后面的学习铺垫。
什么是同构
观察下面这个式子
$$
x\ln{y}>y\ln{x}
$$
显然的,我们可以通过变形,得到下面这组式子
$$
\frac{x}{\ln{x}}>\frac{y}{\ln{y}}
$$
我们可以通过一个函数,来统一的表达这对关系
$$
令f(x)=\frac{x}{\ln{x}}
$$
则原式可以转换为
$$
f(x)>f(y)
$$
因此,将式子化为统一结构并采用函数求解的这种思想,我们称之为同构
例题
$$
\begin{aligned}&\text{已知函数 }f(x)=\ln x,g(x)=x^2-x+2.\&(1)\text{ 若 }a\mathrm{e}^x+\ln a\geq f(x)\text{ 恒成立,求实数 }a\text{ 的最小值};\&(2)\text{ 证明:有且只有两条直线与函数}f(x),g(x)\text{的图象都相切}.\end{aligned}
$$
思路
这里我们仅对第一问展开探究
因为这是第一问,所以我们不能采用特别复杂的方法求解这道题,否则会浪费太多时间,通过观察,这组不等式内同时出现了指数和对数,因此可以尝试用同构的思想解决
解答
由原题式子,可得
$$
ae^{x}+\ln{a}\ge\ln{x}
$$
移项,我们得到
$$
e^{x}\ge\frac{\ln{\frac{x}{a}}}{a}
$$
两边同时乘x,我们得到
$$
xe^x\ge\frac{x}{a}\ln{\frac{x}{a}}
$$
我们观察到了相同的$\frac{x}{a}$项,可以考虑把左边也变成相同形式
根据对数的运算性质,我们得到
$$
xe^{x}=e^{x}\ln{e^{x}}
$$
则原式化为
$$
e^{x}\ln{e^{x}}\ge\frac{x}{a}\ln{\frac{x}{a}}
$$
$$
令f(x)=x\ln{x}
$$
则原式变为
$$
f(e^{x})\ge f(\frac{x}{a})
$$
显然$f(x)$为增函,则原式转化为
$$
e^{x}\ge\frac{x}{a}
$$
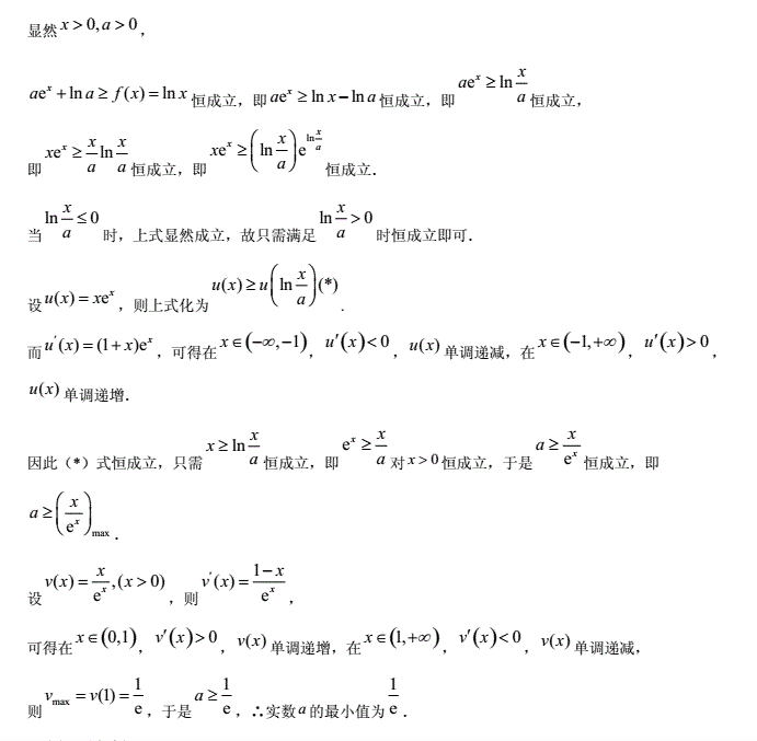
由于本篇主要讲述同构的思想,故这里不再详细阐述之后的步骤,这里贴上后面的步骤图。













